A Prefeitura Municipal de Quixadá divulgou, na manhã desta segunda-feira, 29, que estarão abertas, a partir do próximo dia 02 de março e estendendo-se até o dia 14 de março, as inscrições para o concurso público para preenchimento de 52 tipos de cargos diferentes na máquina pública deste município do Sertão Central.
Confira a seguir o link para baixar edital completo do concurso:
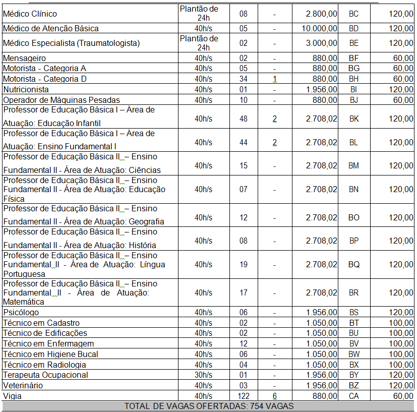
Veja o edital e todos os abexos:
_______
- Instagram: @gooldemberg_saraiva
- Facebook: Gooldemberg Saraiva
- Contato: (88) 9 9972-5179 / bergsaraiva@gmail.com
LEIA MAIS DESTE AUTOR:
- Prefeitura de Quixadá divulga abertura de inscrições para concurso público; confira quais os cargos disponíveis
- Trote sobre queda de helicóptero em Quixeramobim produz deslocamento desnecessário dos bombeiros
- Populares denunciam desperdício de água na adutora ligando o açude Pedras Brancas a Quixeramobim
- Uma ‘criança’ recebe pena de morte em Quixadá – O que isto revela sobre nossa sociedade?
- ‘VIROSE da MOSCA’: Aumento no número de moscas neste período inspira mais cuidados com a saúde
- O carnaval que fizeram com a cara dos quixadaenses
- Colombianos comentam beleza da Miss Quixadá e a comparam com a Miss Universo Paulina Vega
- TV MONÓLITOS: Apesar das chuvas de janeiro, o Açude Cedro, em Quixadá, continua agonizando
- TV MONÓLITOS: Conheça o último amigo vivo do cangaceiro Lampião em Quixadá
- Fantasiados, pilotos de voo livre dão toque carnavalesco aos céus de Quixadá
- O medo enche mais as igrejas do que o amor
- Lançamento do livro “Cordéis de Histórias” acontecerá em Quixeramobim; leia entrevista com um dos autores
- Jovens se organizam através das redes sociais e realizam ação voluntária de limpeza no Açude Cedro, em Quixadá
- Minha Casa Minha Vida em Quixadá: Agora o que não falta é gente querendo ser pai da criança. Por que será?
- Manipulação da opinião pública em época de eleição
- Parâmetros superficiais para o Cristianismo
- Lúmen: 150 poemas de um cearense que são um bálsamo para a alma
- A florzinha, o florista e aquele tilintar no peito
- O Óleo Ungido por Moisés e a exploração da fragilidade dos angustiados
- O fenômeno da rejeição da liberdade
- Desconheço lugar que retrate a vida de maneira tão falsa quanto as redes sociais
- A precisão cronométrica dos eventos cosmológicos exalta o Artista Supremo
- Aceitar o fenômeno da mutabilidade e ser feliz assim mesmo, é o que temos para hoje
- O sujeito é chato, irascível, mal-humorado e está quase sempre de cara feia! Conhece alguém assim?
- O risco do desemprego e a submissão do empregado ao chefe que humilha
- Um encontro que inspira atitudes nobres
- Sair ganhando na derrota
- Qual é a nossa disposição dominante em relação aos outros? Amar ou condenar?






Retificando o comentário sobre a isenção da taxa de inscrição do concurso da Prefeitura de Quixadá, gostaria de saber porque quem é funcionário da prefeitura não vai ter direito isenção.
Porque o meu comentário anterior não foi publicado ?
Gostaria de saber porque o funcionário público do município de Quixadá não terá direita à isenção da taxa do concurso público da Prefeitura de Quixadá.